Упр.572 ГДЗ Дорофеев Суворова 7 класс (Алгебра)
Решение #1

Рассмотрим вариант решения задания из учебника Дорофеев, Суворова, Бунимович 10-11 класс, Просвещение:
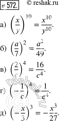
572 Действуем по правилу Выполните возведение в степень:
а) (x/y)10;
б) (a/7)2;
в) (2/c)4;
г) (-1/c)4;
д) (-x/3)3.
*размещая тексты в комментариях ниже, вы автоматически соглашаетесь с пользовательским соглашением