Упр.576 ГДЗ Дорофеев Суворова 7 класс (Алгебра)
Решение #1

Рассмотрим вариант решения задания из учебника Дорофеев, Суворова, Бунимович 10-11 класс, Просвещение:
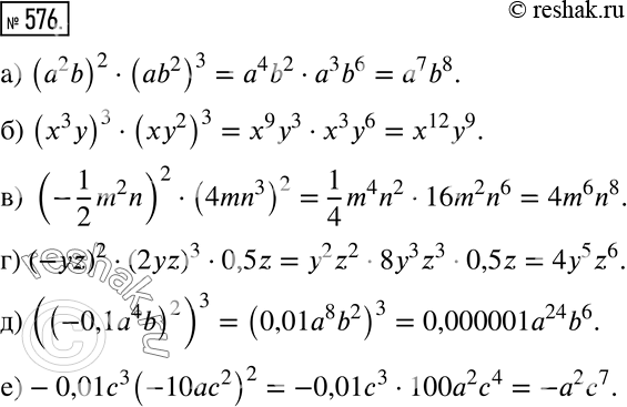
576 а) (а2b)2 * (ab2)3;
б) (х3у)3 * (ху2)3;
в) (-1/2*m2n)2 * (4mn3)2;
г) (-yz)2 * (2yz)3 * 0,5z;
д) ((-0,1а4b)2)3;
е) -0,01c3(-10ac2)2.
*размещая тексты в комментариях ниже, вы автоматически соглашаетесь с пользовательским соглашением