Упр.632 ГДЗ Дорофеев Суворова 9 класс (Алгебра)
Решение #1

Рассмотрим вариант решения задания из учебника Дорофеев, Суворова, Бунимович 9 класс, Просвещение:
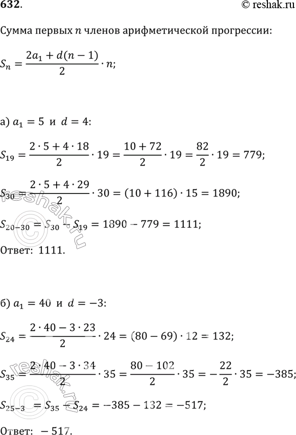
632.
а) В арифметической прогрессии (a_n) a_1 = 5, d = 4. Найдите сумму всех членов этой прогрессии с 20-го по 30-й включительно,
б) В арифметической прогрессии (a_n) a_1 = 40, d = —3. Найдите сумму всех членов этой прогрессии с 25-го по 35-й включительно.
*размещая тексты в комментариях ниже, вы автоматически соглашаетесь с пользовательским соглашением