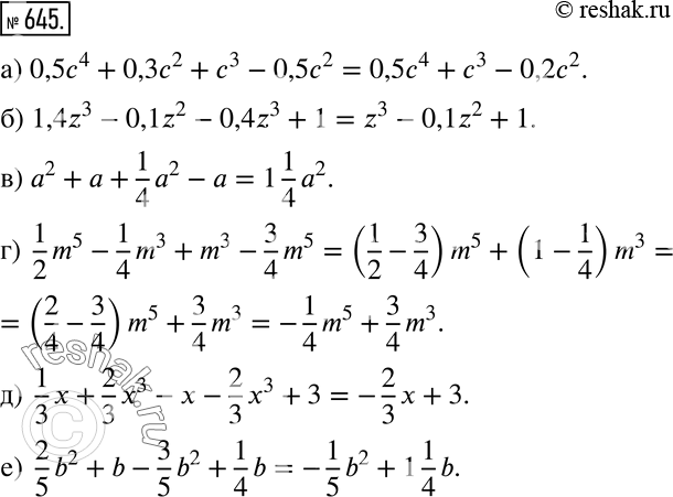
Упр.645 ГДЗ Дорофеев Суворова 7 класс (Алгебра)
Решение #1

Рассмотрим вариант решения задания из учебника Дорофеев, Суворова, Бунимович 10-11 класс, Просвещение:
645 а) 0,5с4 + 0,3с2 + с3-0,5с2;
б) 1,4z3-0,1z2-0,4z3 + 1;
в) а2 + а + 1/4*а2 - а;
г) 1/2*m5 - 1/4*m3 + m3 - 3/4*m5;
д) 1/3*x + 2/3*x3 - x - 2/3*x3 + 3;
е) 2/5*b2 + b - 3/5*b2 + 1/4*b.
*размещая тексты в комментариях ниже, вы автоматически соглашаетесь с пользовательским соглашением