Упр.665 ГДЗ Дорофеев Суворова 9 класс (Алгебра)
Решение #1

Рассмотрим вариант решения задания из учебника Дорофеев, Суворова, Бунимович 9 класс, Просвещение:
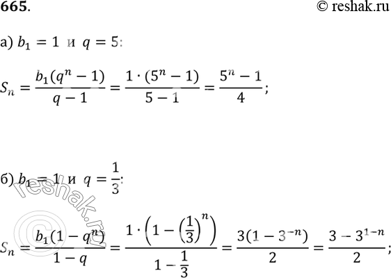
665. Запишите выражение для нахождения суммы первых n членов геометрической прогрессии (b_n), если:
а) b_1 = 1, q = 5;
б) b_1 = 1, q = 1/3.
*размещая тексты в комментариях ниже, вы автоматически соглашаетесь с пользовательским соглашением