Упр.676 ГДЗ Дорофеев Суворова 7 класс (Алгебра)
Решение #1

Рассмотрим вариант решения задания из учебника Дорофеев, Суворова, Бунимович 10-11 класс, Просвещение:
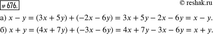
676 Представьте в виде суммы двух каких-либо двучленов:
а) х-у; б) х + у.
*размещая тексты в комментариях ниже, вы автоматически соглашаетесь с пользовательским соглашением