Упр.740 ГДЗ Колягин Ткачёва 7 класс (Алгебра)
Решение #1

Рассмотрим вариант решения задания из учебника Колягин, Ткачёва, Фёдорова 7 класс, Просвещение:
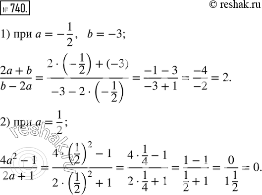
740. Найти числовое значение алгебраического выражения:
1) (2a+b)/(b-2a) при a=-1/2, b=-3;
2) (4a^2-1)/(2a+1) при a=1/2.
*размещая тексты в комментариях ниже, вы автоматически соглашаетесь с пользовательским соглашением