Упр.756 ГДЗ Дорофеев Суворова 7 класс (Алгебра)
Решение #1

Рассмотрим вариант решения задания из учебника Дорофеев, Суворова, Бунимович 10-11 класс, Просвещение:
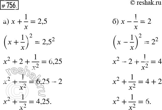
756 Найдите значение выражения х2 + 1/x2, если:
а) х + 1/x = 2,5;
б) х - 1/x = 2.
*размещая тексты в комментариях ниже, вы автоматически соглашаетесь с пользовательским соглашением