Упр.787 ГДЗ Дорофеев Суворова 7 класс (Алгебра)
Решение #1

Рассмотрим вариант решения задания из учебника Дорофеев, Суворова, Бунимович 10-11 класс, Просвещение:
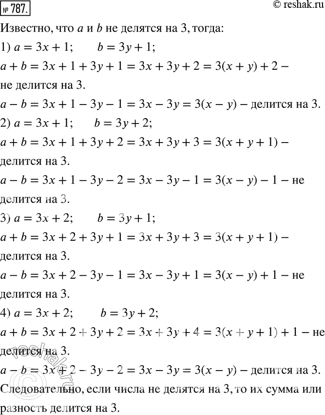
787 Докажите, что если числа а и b не делятся на 3, то либо их сумма, либо их разность делится на 3.
*размещая тексты в комментариях ниже, вы автоматически соглашаетесь с пользовательским соглашением