Упр.8.4 ГДЗ Мордкович Семенов 7 класс (Алгебра)
Решение #1

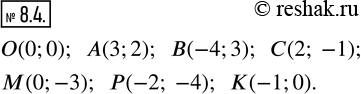
Рассмотрим вариант решения задания из учебника Мордкович, Семенов, Александрова 7 класс, Бином:
8.4. Назовите координаты точек, расположенных в системе координат хOу на рисунке 27.
*размещая тексты в комментариях ниже, вы автоматически соглашаетесь с пользовательским соглашением