Упр.824 ГДЗ Дорофеев Суворова 7 класс (Алгебра)
Решение #1

Рассмотрим вариант решения задания из учебника Дорофеев, Суворова, Бунимович 10-11 класс, Просвещение:
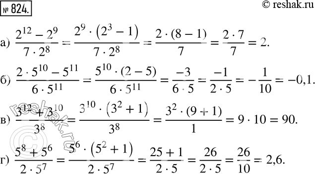
824 Применяем алгебру Вычислите:
а) (2^12 - 2^9)/(7*2^8);
б) (2*5^10 - 5^11)/(6*5^11);
в) (3^12 + 3^10)/3^8;
г) (5^8 + 5^6)/(2 * 5^7).
*размещая тексты в комментариях ниже, вы автоматически соглашаетесь с пользовательским соглашением