Упр.840 ГДЗ Дорофеев Суворова 7 класс (Алгебра)
Решение #1

Рассмотрим вариант решения задания из учебника Дорофеев, Суворова, Бунимович 10-11 класс, Просвещение:
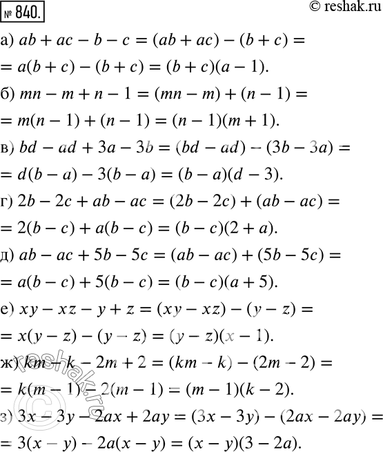
840 Разложите на множители:
а) аb + ас - b - с;
б) mn - m + n — 1;
в) bd - ad + 3а - 3b;
г) 2b - 2с + аb - ас;
д) аb - ас + 5b - 5c;
е) ху - xz - у + z;
ж) km - k - 2m + 2;
з) 3х - 3y - 2ах + 2ау.
*размещая тексты в комментариях ниже, вы автоматически соглашаетесь с пользовательским соглашением