Упр.843 ГДЗ Дорофеев Суворова 7 класс (Алгебра)
Решение #1

Рассмотрим вариант решения задания из учебника Дорофеев, Суворова, Бунимович 10-11 класс, Просвещение:
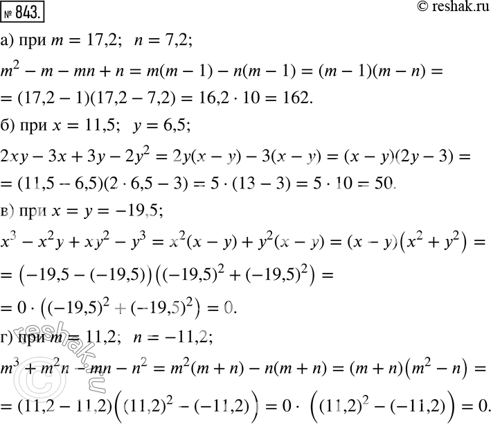
843 Найдите значение выражения при заданных значениях переменных:
а) m2 - m - mn + n при m = 17,2, n = 7,2;
б) 2ху - 3х + 3у - 2у2 при х = 11,5, у = 6,5;
в) х3 - х2у + ху2 - у3 при х = у = -19,5;
г) m3 + m2n - mn - n2 при m = 11,2, n = -11,2.
*размещая тексты в комментариях ниже, вы автоматически соглашаетесь с пользовательским соглашением