Упр.851 ГДЗ Дорофеев Суворова 7 класс (Алгебра)
Решение #1

Рассмотрим вариант решения задания из учебника Дорофеев, Суворова, Бунимович 10-11 класс, Просвещение:
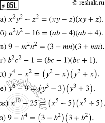
851 а) х2у2 - z2;
б) а2b2 - 16;
в) 9 - m2n2;
г) b2с2 - 1;
д) у4 - x2;
е) y6 — 9;
ж) x10 - 25;
з) 9 - b4.
*размещая тексты в комментариях ниже, вы автоматически соглашаетесь с пользовательским соглашением