Упр.868 ГДЗ Дорофеев Суворова 7 класс (Алгебра)
Решение #1

Рассмотрим вариант решения задания из учебника Дорофеев, Суворова, Бунимович 10-11 класс, Просвещение:
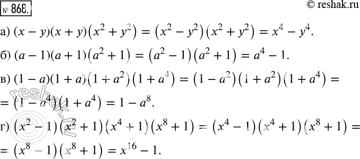
868 а) (х - у)(х + у)(х2 + у2);
б) (а - 1 )(а + 1)(а2 + 1);
в) (1 - а)( 1 + а)(1 + а2)(1 + а4);
г) (х2 - 1)(х2 + 1)(х4 + 1)(х8 + 1).
*размещая тексты в комментариях ниже, вы автоматически соглашаетесь с пользовательским соглашением