Упр.9.15 ГДЗ Мордкович Семенов 7 класс (Алгебра)
Решение #1

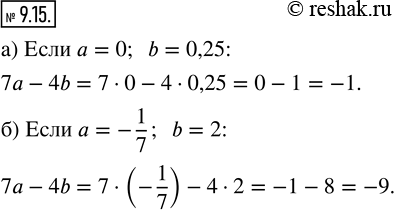
Рассмотрим вариант решения задания из учебника Мордкович, Семенов, Александрова 7 класс, Бином:
9.15. Найдите значение выражения 7а — 4b, если:
а) а = 0, b = 0,25; б) а = -1/7, b = 2.
*размещая тексты в комментариях ниже, вы автоматически соглашаетесь с пользовательским соглашением