Упр.13.5 ГДЗ Мордковича 11 класс профильный уровень (Алгебра)
Решение #1
Решение #2(записки учителя)
Решение #3(записки школьника)

Рассмотрим вариант решения задания из учебника Мордкович, Семенов 11 класс, Мнемозина:
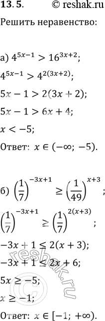
13.5 а)4(5x-1)>16(3x+2);
б)(1/7)(-3x+1) больше или равно (1/49)(x+3);
в)11(-7x+1) меньше или равно 121(-2x-10);
г)0,09(5x-1)<0,3(x+7).
*размещая тексты в комментариях ниже, вы автоматически соглашаетесь с пользовательским соглашением