Упр.14.18 ГДЗ Мордковича 11 класс профильный уровень (Алгебра)
Решение #1
Решение #2(записки учителя)
Решение #3(записки школьника)

Рассмотрим вариант решения задания из учебника Мордкович, Семенов 11 класс, Мнемозина:
Решите уравнение:
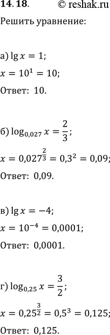
14.18 а)lgx=1;
б)log0,027(x)=2/3;
в)lgx=-4;
г)log0,25(x)=3/2.
*размещая тексты в комментариях ниже, вы автоматически соглашаетесь с пользовательским соглашением