Упр.16.19 ГДЗ Мордковича 11 класс профильный уровень (Алгебра)
Решение #1
Решение #2(записки учителя)
Решение #3(записки школьника)

Рассмотрим вариант решения задания из учебника Мордкович, Семенов 11 класс, Мнемозина:
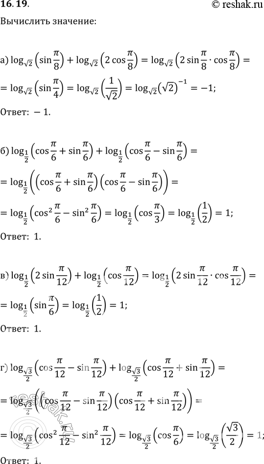
Вычислите:
16.19 а)log корень 2(sin Пи/8)+log корень 2(2 cos Пи/8);
б)log1/2(cos Пи/6 + sin Пи/6)+log1/2(cos Пи/6-sin Пи/6);
в)log1/2(2 sin Пи/12)+log1/2(cos Пи/12);
г)log корень 3/2(cos Пи/12 - sin Пи/12)+log корень 3/2(cos Пи/12+sin Пи/12).
*размещая тексты в комментариях ниже, вы автоматически соглашаетесь с пользовательским соглашением