Упр.17.9 ГДЗ Мордковича 11 класс профильный уровень (Алгебра)
Решение #1
Решение #2(записки учителя)
Решение #3(записки школьника)

Рассмотрим вариант решения задания из учебника Мордкович, Семенов 11 класс, Мнемозина:
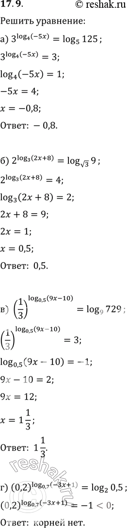
17.9 а)3log4(-5x)=log5(125);
б)2log3(2x+8)=log корень 3(9);
в)(1/3)log0,5(9x-10)=log9(729);
г)(0,2)log0,7(-3x+1)-log2(0,5).
*размещая тексты в комментариях ниже, вы автоматически соглашаетесь с пользовательским соглашением