Упр.1.5 ГДЗ Мордкович 9 класс (Алгебра)
Решение #1
Решение #2

Рассмотрим вариант решения задания из учебника Мордкович 9 класс, Мнемозина:
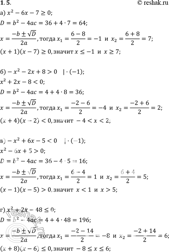
1.5.а)х2-6х-7>=0;
б)-х2-2х+8>0;
в)-х2+6х-5<0;
г)х2+2х-48<=0.
*размещая тексты в комментариях ниже, вы автоматически соглашаетесь с пользовательским соглашением