Упр.6.3 ГДЗ Мордкович 9 класс (Алгебра)

Решение #1

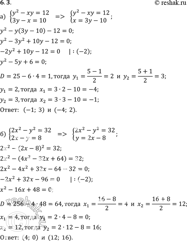
Изображение 6.3 а) системаy2-xy=12,3y-x=10;б) система2x2-y2=32,2x-y=8;в) система2x2-xy=33,4x-y=17;г) системаx2-y2=24,2y-x=-7....
Дополнительное изображение

Решение #2

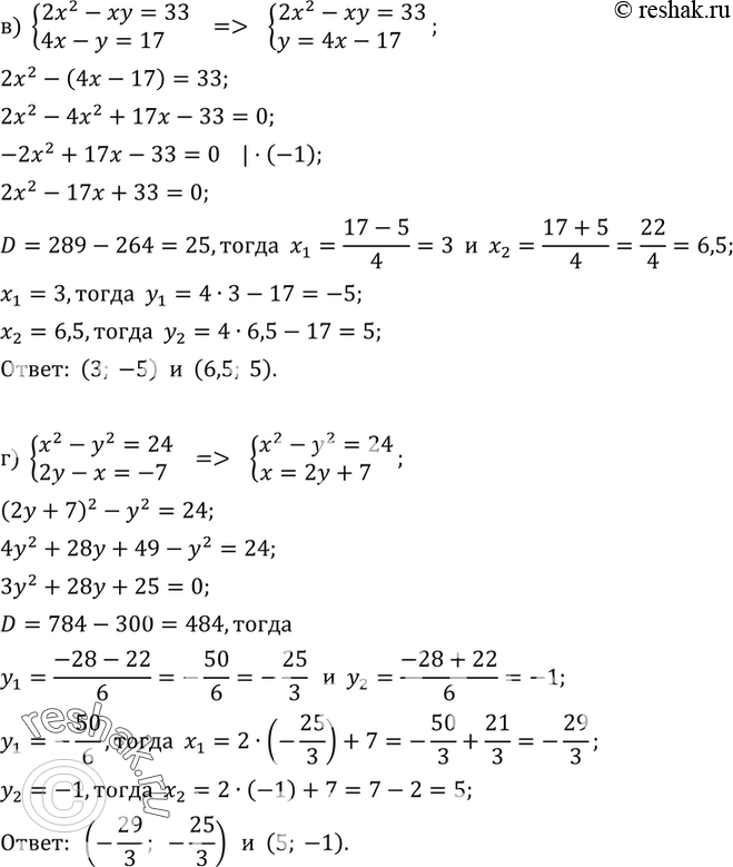
Изображение 6.3 а) системаy2-xy=12,3y-x=10;б) система2x2-y2=32,2x-y=8;в) система2x2-xy=33,4x-y=17;г) системаx2-y2=24,2y-x=-7....
Дополнительное изображение
Загрузка...

Рассмотрим вариант решения задания из учебника Мордкович 9 класс, Мнемозина:
6.3 а) система
y2-xy=12,
3y-x=10;
б) система
2x2-y2=32,
2x-y=8;
в) система
2x2-xy=33,
4x-y=17;
г) система
x2-y2=24,
2y-x=-7.
*Цитирирование задания со ссылкой на учебник производится исключительно в учебных целях для лучшего понимания разбора решения задания.
*размещая тексты в комментариях ниже, вы автоматически соглашаетесь с пользовательским соглашением