Упр.7.13 ГДЗ Мордкович 9 класс (Алгебра)
Решение #1
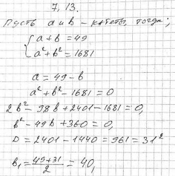
Решение #2

Рассмотрим вариант решения задания из учебника Мордкович 9 класс, Мнемозина:
7.13. Сумма катетов прямоугольного треугольника равна 49 м а его гипотенуза равна 41 м. Найдите площадь треугольника.
*размещая тексты в комментариях ниже, вы автоматически соглашаетесь с пользовательским соглашением