Упр.16.2 ГДЗ Мордковича 10 класс профильный уровень (Алгебра)
Решение #1
Решение #2(записки учителя)
Решение #3(записки школьника)

Рассмотрим вариант решения задания из учебника Мордкович, Семенов 10 класс, Мнемозина:
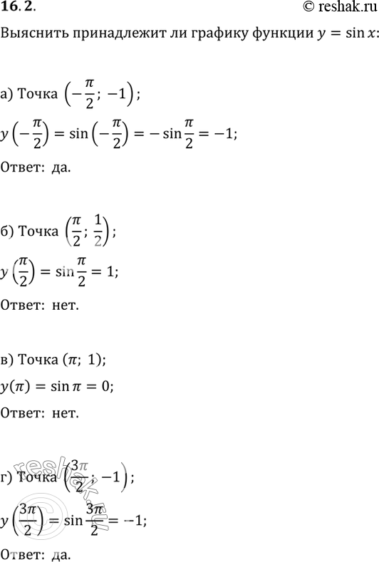
He выполняя построения, ответьте на вопрос, принадлежит ли графику функции у = sin x точка с координатами;
*размещая тексты в комментариях ниже, вы автоматически соглашаетесь с пользовательским соглашением