Упр.20.3 ГДЗ Мордковича 10 класс профильный уровень (Алгебра)
Решение #1
Решение #2(записки учителя)
Решение #3(записки школьника)

Рассмотрим вариант решения задания из учебника Мордкович, Семенов 10 класс, Мнемозина:
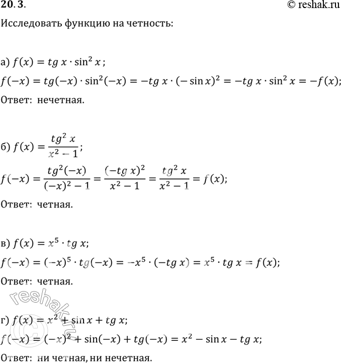
a) f(x) = tgx sin2 x;
б) f(x) = tg2x/x2-1'
в) f(x) = x5 tg x;
г) f(x) = x2 + sinx + tg x.
*размещая тексты в комментариях ниже, вы автоматически соглашаетесь с пользовательским соглашением