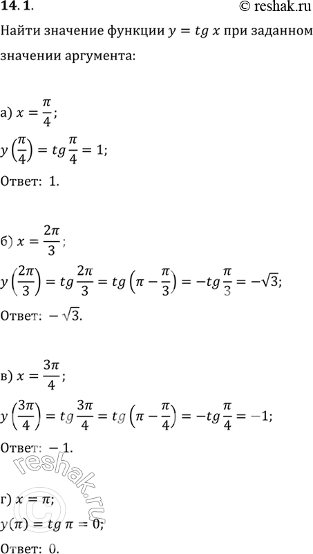
Упр.14.1 ГДЗ Мордкович 10-11 класс (Алгебра)
Решение #1
Решение #2

Рассмотрим вариант решения задания из учебника Мордкович, Семенов 10 класс, Мнемозина:
14.1 Найдите значение функции у = tg x при заданном значении аргумента х :
а) х = пи/4;
6) х = 2пи/3;
в) х = 3пи/4;
г) X = пи.
*размещая тексты в комментариях ниже, вы автоматически соглашаетесь с пользовательским соглашением