Упр.17.4 ГДЗ Мордкович 10-11 класс (Алгебра)
Решение #1
Решение #2

Рассмотрим вариант решения задания из учебника Мордкович, Семенов 10 класс, Мнемозина:
17.4
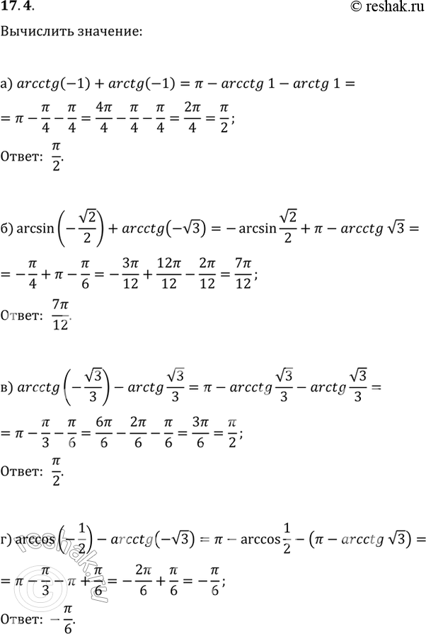
a) arcctg (-1) + arctg (-1);
б) arcsin (-корень(2)/2) + arcctg (-корень(3));
в) arcctg (-корень(3)/3) - arcctg корень(3)/3;
г) arccos (-1/2) - arcctg (-корень(3)).
*размещая тексты в комментариях ниже, вы автоматически соглашаетесь с пользовательским соглашением