Упр.26.32 ГДЗ Мордкович 10-11 класс (Алгебра)
Решение #1
Решение #2

Рассмотрим вариант решения задания из учебника Мордкович, Семенов 10 класс, Мнемозина:
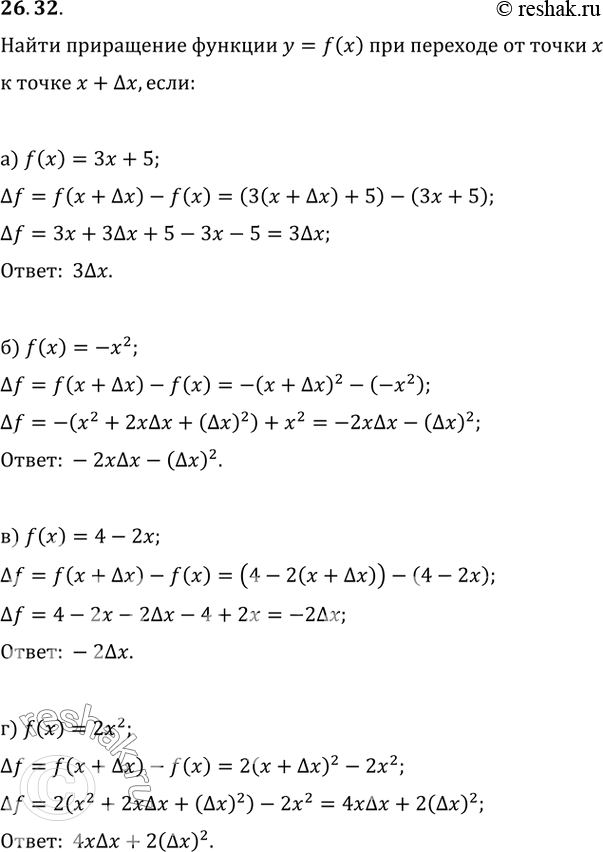
26.32 Найдите приращение функции у = f(x) при переходе от точки х к точке х + дельта x, если:
а) f(х) = Зх + 5;
б) f(x) = -х^2;
в) f(x) = 4 - 2х;
г) f(x) = 2х^2.
*размещая тексты в комментариях ниже, вы автоматически соглашаетесь с пользовательским соглашением