Упр.4.19 ГДЗ Мордкович 10-11 класс (Алгебра)
Решение #1
Решение #2

Рассмотрим вариант решения задания из учебника Мордкович, Семенов 10 класс, Мнемозина:
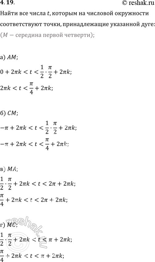
4.19 Найдите все числа t, которым на числовой окружности (см. рис. 2) соответствуют точки, принадлежащие указанной открытой дуге (т. е. дуге без её концов):
a) AM; б) СМ; в) МА; г) MC.
(М — середина первой четверти.)
*размещая тексты в комментариях ниже, вы автоматически соглашаетесь с пользовательским соглашением