Упр.6.1 ГДЗ Мордкович 10-11 класс (Алгебра)
Решение #1
Решение #2

Рассмотрим вариант решения задания из учебника Мордкович, Семенов 10 класс, Мнемозина:
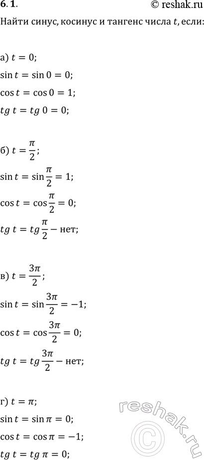
6.1 Найдите синус, косинус и тангенс числа t, если:
a) t = 0;
б) t =пи/2;
в) t = Зпи/2;
г) t = пи.
*размещая тексты в комментариях ниже, вы автоматически соглашаетесь с пользовательским соглашением