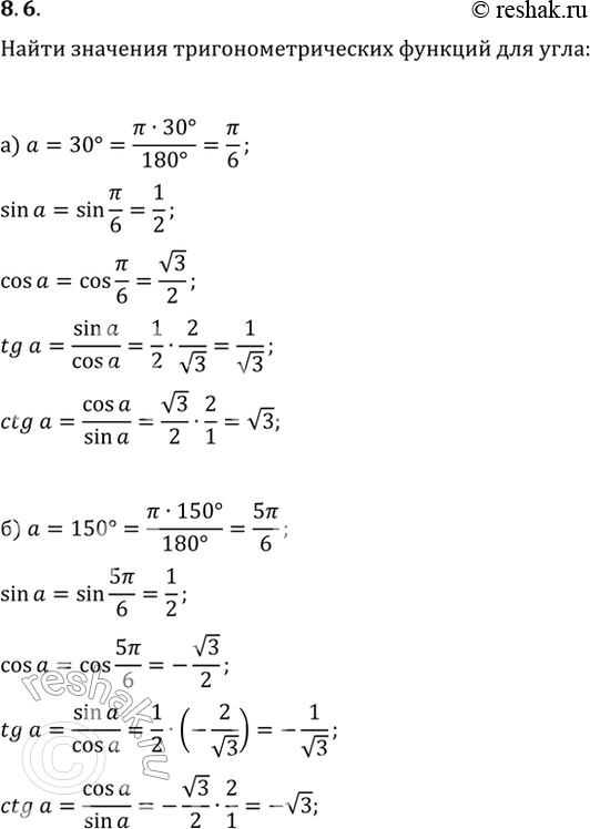
Упр.8.6 ГДЗ Мордкович 10-11 класс (Алгебра)
Решение #1
Решение #2

Рассмотрим вариант решения задания из учебника Мордкович, Семенов 10 класс, Мнемозина:
8.6
а) 30 градусов;
б) 150 градусов;
в) 210 градусов;
г) 240 градусов.
*размещая тексты в комментариях ниже, вы автоматически соглашаетесь с пользовательским соглашением