Упр.10.19 ГДЗ Мордковича 11 класс профильный уровень (Алгебра)
Решение #1
Решение #2(записки учителя)
Решение #3(записки школьника)

Рассмотрим вариант решения задания из учебника Мордкович, Семенов 11 класс, Мнемозина:
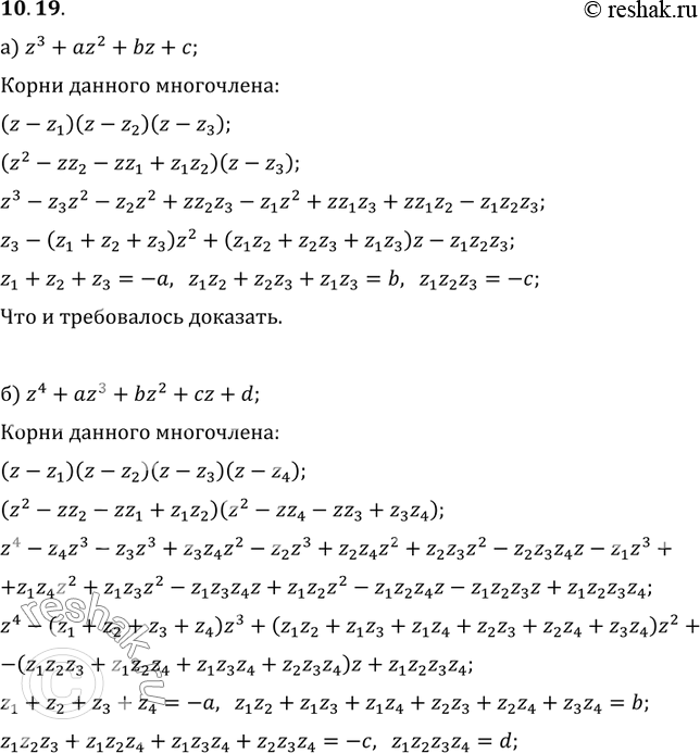
10.19. а) Для многочлена z3 + az2 + bz + с и его корней z1, z2, z3 докажите, что выполняются следующие соотношения (теорема Виета):
zi + z2 + z3 = -а, z1z2 + z2z3 + z3z1 = b, z1z2z3 = -С.
б) Сформулируйте и докажите теорему Виета для приведенного многочлена четвертой степени.
*размещая тексты в комментариях ниже, вы автоматически соглашаетесь с пользовательским соглашением