Упр.12.8 ГДЗ Мордковича 11 класс профильный уровень (Алгебра)
Решение #1
Решение #2(записки учителя)
Решение #3(записки школьника)

Рассмотрим вариант решения задания из учебника Мордкович, Семенов 11 класс, Мнемозина:
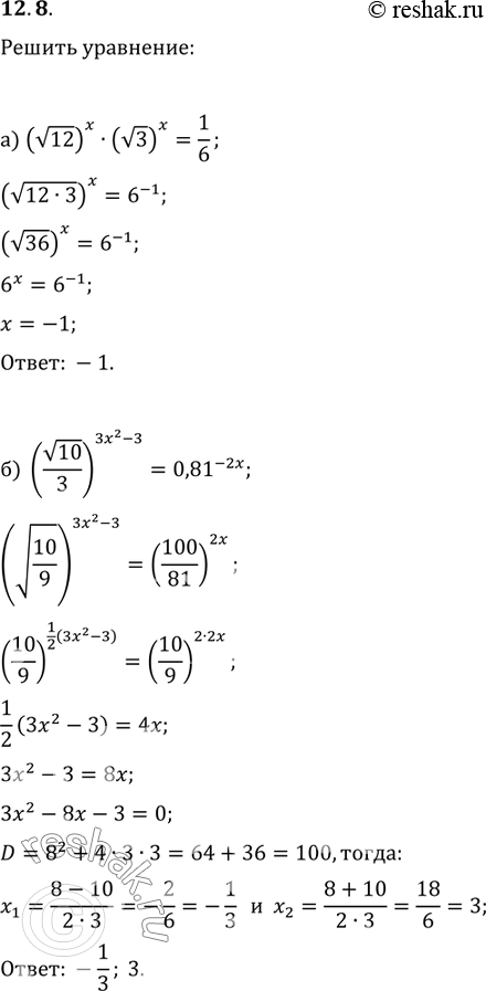
12.8 а)(корень 12)x * (корень 3)x=1/6;
б)((корень 10)/3)^(3x2-3) = 0,81^-2x;
в)(корень 3 степени 3)2x * (корень 3 степени 9 )2x = 243;
г)((корень 4 степени 2)/корень 3)^x2+4=20,25^(x+1).
*размещая тексты в комментариях ниже, вы автоматически соглашаетесь с пользовательским соглашением