Упр.14.8 ГДЗ Мордковича 11 класс профильный уровень (Алгебра)
Решение #1
Решение #2(записки учителя)
Решение #3(записки школьника)

Рассмотрим вариант решения задания из учебника Мордкович, Семенов 11 класс, Мнемозина:
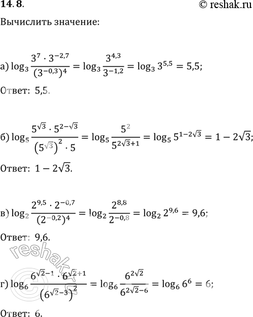
14.8 а)log5((3^7*3^-2,7)/(5^корень 2)2 *5));
б)log 5 ((5^корень 3 * 5^(2-корень 3))/((5^корень 3)2*5);
в)log 2 ((2^0,5*2^-0,7)/((2^-0,2)4);
г)log 6 ((6^(корень 2 - 1) * 6^(корень 2 +1)) /6^(корень 2 - 3)2.
*размещая тексты в комментариях ниже, вы автоматически соглашаетесь с пользовательским соглашением