Упр.15.13 ГДЗ Мордковича 11 класс профильный уровень (Алгебра)
Решение #1
Решение #2(записки учителя)
Решение #3(записки школьника)

Рассмотрим вариант решения задания из учебника Мордкович, Семенов 11 класс, Мнемозина:
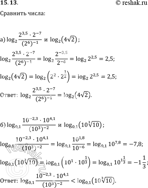
15.13 а)log2((2^3,5 * 2^-7)/(2^6)-1) и log2(4 корень 2);
б)log 0,1((10^-2,3 *10^4,1)/(10^3)-2) и log 0,1(10 корень 3 степени 10)
*размещая тексты в комментариях ниже, вы автоматически соглашаетесь с пользовательским соглашением