Упр.15.4 ГДЗ Мордковича 11 класс профильный уровень (Алгебра)
Решение #1
Решение #2(записки учителя)
Решение #3(записки школьника)

Рассмотрим вариант решения задания из учебника Мордкович, Семенов 11 класс, Мнемозина:
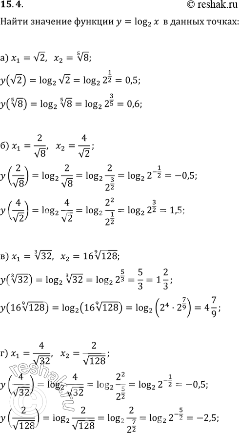
15.4. а) х1 = коорень 2, х2 = корень 5 степени 8;
б)x1=2/корень 8, x2=4/корень 2;
в) х1 = корень 3 степени 32, x2 = 16 корень 9 степени 128;
г)x1=4/корень 32, x2=2/корень 128.
*размещая тексты в комментариях ниже, вы автоматически соглашаетесь с пользовательским соглашением