Упр.20.14 ГДЗ Мордковича 11 класс профильный уровень (Алгебра)
Решение #1
Решение #2(записки учителя)
Решение #3(записки школьника)

Рассмотрим вариант решения задания из учебника Мордкович, Семенов 11 класс, Мнемозина:
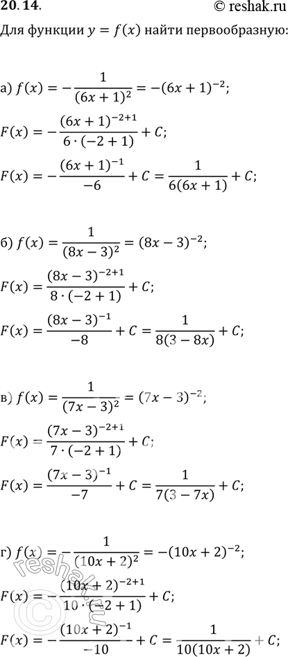
20.14 а)f(x)=1/(6x+1)2;
б)f(x)=1/(8x-3)2;
в)f(x)=1/(7x-3)2;
г)f(x)=-1/(10x+2)2.
*размещая тексты в комментариях ниже, вы автоматически соглашаетесь с пользовательским соглашением