Упр.3.20 ГДЗ Мордковича 11 класс профильный уровень (Алгебра)
Решение #1
Решение #2(записки учителя)
Решение #3(записки школьника)

Рассмотрим вариант решения задания из учебника Мордкович, Семенов 11 класс, Мнемозина:
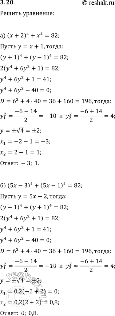
3.28. а) (x + 2)4 + x4 = 82;
б) (5x - 3)4 + (5x - 1)4 = 82;
в) (x + З)4 + (x - 1)4 = 32;
г) (5x + З)4 + (5x - 1)4 = 32.
*размещая тексты в комментариях ниже, вы автоматически соглашаетесь с пользовательским соглашением