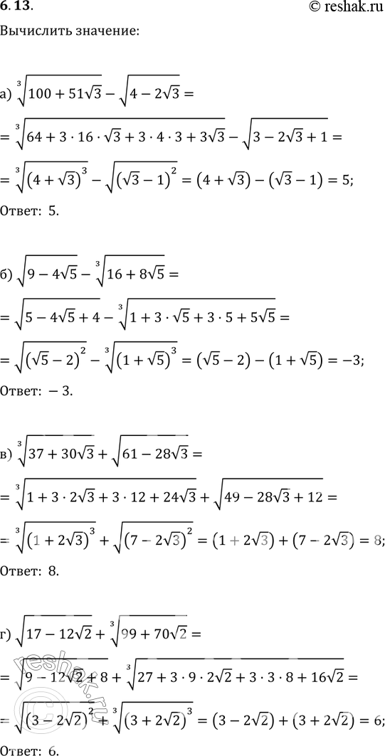
Упр.6.13 ГДЗ Мордковича 11 класс профильный уровень (Алгебра)
Решение #1
Решение #2(записки учителя)
Решение #3(записки школьника)
Решение #4(записки школьника)

Рассмотрим вариант решения задания из учебника Мордкович, Семенов 11 класс, Мнемозина:
6.13
а) корень 3 степени (100+51 корень 3)-корень ( 4-2 корень 3);
б) корень (9-4 корень 5)- корень 3 степени ( 16+8 корень 5);
в) корень 3 степени (37+30 корень 3)+ корень ( 61-28 корень 3);
г) корень (17-12 корень 2)+ корень 3 степени (99+70 корень 2).
*размещая тексты в комментариях ниже, вы автоматически соглашаетесь с пользовательским соглашением