Упр.7.21 ГДЗ Мордковича 11 класс профильный уровень (Алгебра)
Решение #1
Решение #2(записки учителя)
Решение #3(записки школьника)

Рассмотрим вариант решения задания из учебника Мордкович, Семенов 11 класс, Мнемозина:
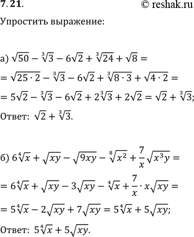
7.21. а) корень 50 - корень 3 степени 3 - 6 корень 2 + корень 3 степени 24 + корень 8;
б) 6 корень 4 степени x + корень xy - корень 9xy -корень 8 степени x2 + 7/x корень x2y.
*размещая тексты в комментариях ниже, вы автоматически соглашаетесь с пользовательским соглашением