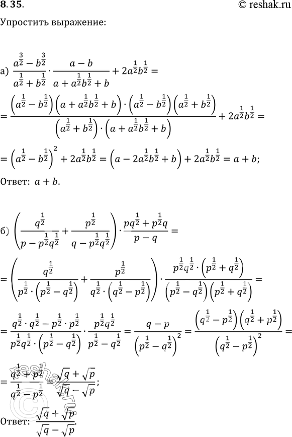
Упр.8.35 ГДЗ Мордковича 11 класс профильный уровень (Алгебра)
Решение #1
Решение #2(записки школьника)

Рассмотрим вариант решения задания из учебника Мордкович, Семенов 11 класс, Мнемозина:
Упростите выражение:
8.35
а)(a3/2-b3/2)/(a1/2+b1/2)*(a-b)/(a+a1/2b1/2+b)+ 2a1/2b1/2;
б)(q1/2/(p-p1/2q1/2)+p1/2/(q-p1/2q1/2))*(pq1/2+p1/2q)/(p-q).
*размещая тексты в комментариях ниже, вы автоматически соглашаетесь с пользовательским соглашением