Упр.8.8 ГДЗ Мордковича 11 класс профильный уровень (Алгебра)
Решение #1
Решение #2(записки учителя)
Решение #3(записки школьника)

Рассмотрим вариант решения задания из учебника Мордкович, Семенов 11 класс, Мнемозина:
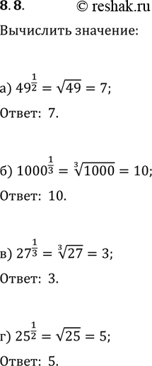
Вычислите:
8.8
а) 49^1/2;б)1000^1/3;в)27^1/3;г)25^1/2.
*размещая тексты в комментариях ниже, вы автоматически соглашаетесь с пользовательским соглашением