Упр.12.10 ГДЗ Мордковича 11 класс профильный уровень (Алгебра)
Решение #1
Решение #2(записки учителя)
Решение #3(записки школьника)

Рассмотрим вариант решения задания из учебника Мордкович, Семенов 11 класс, Мнемозина:
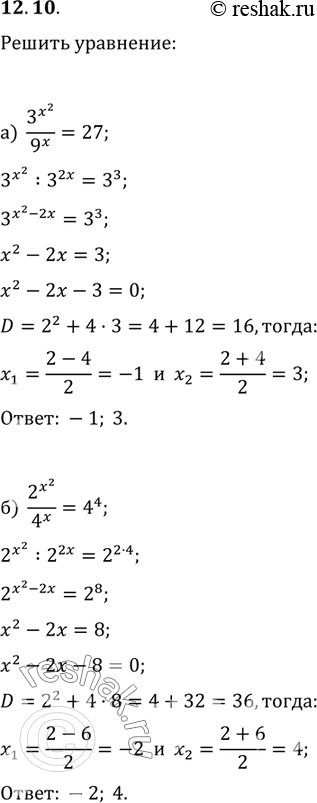
12.10 а)3x2/9x=27;
б)2x2/4x=4^4;
в)7x2/49^3x=7^7;
г)2^2x2/4^3x=4^4.
*размещая тексты в комментариях ниже, вы автоматически соглашаетесь с пользовательским соглашением