Упр.12.15 ГДЗ Мордковича 11 класс профильный уровень (Алгебра)
Решение #1
Решение #2(записки учителя)
Решение #3(записки школьника)

Рассмотрим вариант решения задания из учебника Мордкович, Семенов 11 класс, Мнемозина:
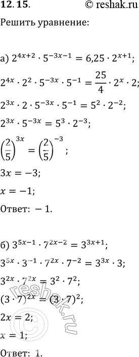
12.15 а) 2^(4x+2) * 5^(-3x-1)= 6,25* 2^(x+1);б)3^(5x-1)*7^(2x-2)=3^(3x+1)
*размещая тексты в комментариях ниже, вы автоматически соглашаетесь с пользовательским соглашением