Упр.13.44 ГДЗ Мордковича 11 класс профильный уровень (Алгебра)
Решение #1
Решение #2(записки учителя)

Рассмотрим вариант решения задания из учебника Мордкович, Семенов 11 класс, Мнемозина:
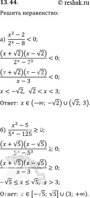
13.44 а)(x2-2)/(2x-8)<0;б)(x2-5)/(5x-125)больше или равно 0.
*размещая тексты в комментариях ниже, вы автоматически соглашаетесь с пользовательским соглашением