Упр.13.45 ГДЗ Мордковича 11 класс профильный уровень (Алгебра)
Решение #1
Решение #2(записки учителя)
Решение #3(записки школьника)

Рассмотрим вариант решения задания из учебника Мордкович, Семенов 11 класс, Мнемозина:
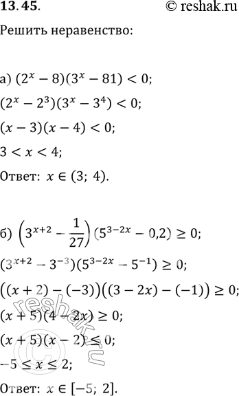
13.45 а)(2x-8)(3x-81)<0;'
б)(3(x+2)-1/25)(5(3-2x)-0,2) больше или равно 0.
*размещая тексты в комментариях ниже, вы автоматически соглашаетесь с пользовательским соглашением