Упр.31.18 ГДЗ Мордкович 10-11 класс (Алгебра)
Решение #1

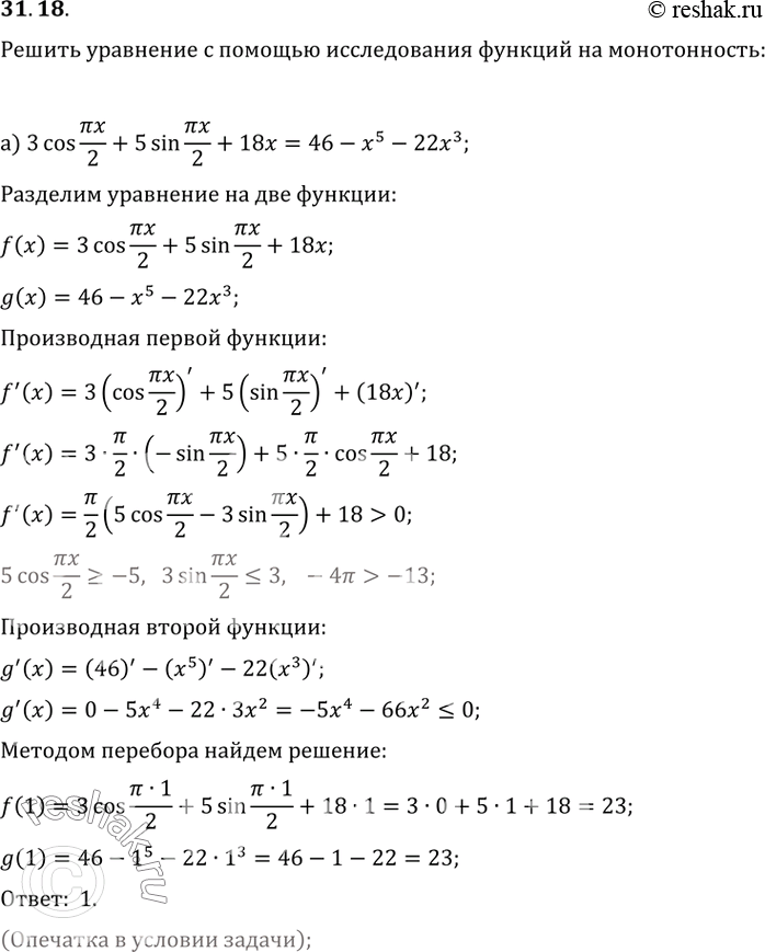
Рассмотрим вариант решения задания из учебника Мордкович, Семенов 10-11 класс, Мнемозина:
31.18
а) 3cos пиx/2 + 5sin пиx/2 + 18x = 43 - x^5 - 22x^3;
б) sin пи/2 x - 2cos пиx - 8x = x^5 - 50.
*размещая тексты в комментариях ниже, вы автоматически соглашаетесь с пользовательским соглашением