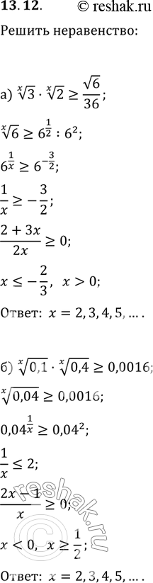
Упр.13.12 ГДЗ Мордковича 11 класс профильный уровень (Алгебра)
Решение #1
Решение #2(записки школьника)

Рассмотрим вариант решения задания из учебника Мордкович, Семенов 11 класс, Мнемозина:
13.12 а) корень x степени 3 * корень x степени 2 больше или равно корень 6/36;
б)корень x степени 0,1 * корень x степени 0,4 больше или равно 0,0016;
в)корень x степени 2 * корень x степени 5 больше или равно корень 4 степени 10;
г)корень x степени 1/9 * корень x степени 2 меньше или равно корень 15 степени 4/корень 15 степени 81.
*размещая тексты в комментариях ниже, вы автоматически соглашаетесь с пользовательским соглашением