Упр.13.13 ГДЗ Мордковича 11 класс профильный уровень (Алгебра)
Решение #1
Решение #2(записки учителя)
Решение #3(записки школьника)

Рассмотрим вариант решения задания из учебника Мордкович, Семенов 11 класс, Мнемозина:
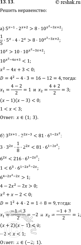
13.13 а)5(x-1)*2(x+2) > 8 * 10(x2-3x+2);
б) 3(2x+1)*2(2x-3)<81*6(1-2x2).
*размещая тексты в комментариях ниже, вы автоматически соглашаетесь с пользовательским соглашением